產品分類
不銹鋼內六角螺栓的規格和標準
文章作者:華隆緊固件 發布日期:2018-06-20不銹鋼內六角螺栓規格:
不銹鋼內六角螺栓雖說是螺栓的一種,但是沒有固定的標準,主要還是看實際中的應用,有些螺栓的國家標準頭部大小是8的,而內六角螺栓有可能就是7的,甚至有可能就是10的。所以國標螺栓各方面的長度尺寸,公差范圍,不銹鋼內六角螺栓廠家,材質等級強度等等,如果不符合國家標準的螺栓長度尺寸。就會導致成為特種螺栓。

不銹鋼內六角螺栓強度:
不銹鋼內六角螺栓強度是分3.6、4.6、4.8、5.6、6.8、8.8、9.8、10.9、12.9等10余個等級。其中8.8級及以上螺栓材質為低碳合金鋼或中碳鋼并經熱處理(淬火、回火),通稱為高強度螺栓,其余通稱為普通螺栓。螺栓性能等級標號有兩部分數字組成,分別表示螺栓材料的公稱抗拉強度值和屈強比值。?

不銹鋼內六角螺栓標準:

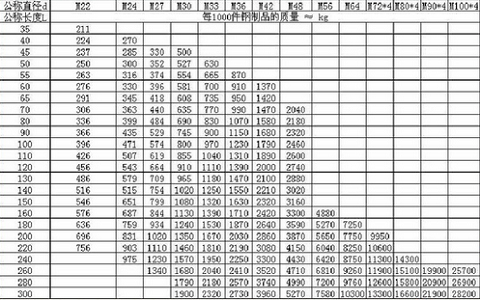
不銹鋼內六角螺栓重量表:

備注:內六角規格計算方式為規格M*長度L
上一篇:高強度熱鍍鋅螺栓的優勢和用途
下一篇:六角法蘭螺栓的分類和應用




